注:如需PDF原文,请将E-mail发送至本公司邮箱,注明所需文章即可。
徐 壁,蔡 再 生
摘 要: 利用溶胶一凝胶技术,以十二烷基三甲氧基硅烷和四乙氧基硅烷作为反应前驱体。在室温条件下制备无氟超拒水改性硅溶胶,并将其通过浸一轧一烘的方式在纯棉织物上应用.纳米粒度仪测试结果表明,制备的si02颗粒尺寸大多集中在5—8nm;能谱仪测试结果表明,整理后棉织物表面有硅元素存在;接触角测试结果表明,纯棉织物对水接触角(5µL)由整理前的0度变为整理后的151度;扫描探针显微镜测试结果表明,相比未处理棉纤维,处理后棉纤维表面粗糙度大大提高.粗糙度的提高和低表面能物质的引入是拒水性提高的主要原因,符合Wenzel模型。
关键词: 棉织物;超拒水;改性硅溶胶;溶胶一凝胶
由于分子结构中含有众多亲水性羟基,棉纤维极易被液体润湿从而导致沾污,对其进行拒水整理一直受到业内人士的广泛关注.传统上,主要使用含氟整理剂对纺织品进行拒水整理,通过降低织物表面自由能从而达到拒水的目的.但该类整理剂价格昂贵,且有机氟有一定的生物毒性,对环境存在潜在危害.欧盟于2006年12月27日正式公布并同时生效的《关限制全氟辛烷磺酸销售及使用的指令》规定,以PFOS(全氟辛烷磺酸,是用于纺织品拒水拒油整理的主要活性成分)为构成物质或要素的,若质量分数等于或超过0.005%的将不得销售;而在成品和半成品中使用PFOS质量分数等于或超过0.1%的。则成品、半成品及零件也将被列入禁售范围.目前,欧盟、美国等均对PFOS表现出极大的关注,有专家预见,该类物质在未来几年将完全被禁用.因此,加快PFOS替用品的研发,提高产品的环保要求,受到人们的关注.溶胶-凝胶技术是指金属有机或无机化合物经过溶液、溶胶、凝胶而固化.再经热处理而成氧化物或其他化合物固体的方法.反应温度低,过程易控制,工艺简单,容易进行物理或化学改性等,在多功能纺织品应用方面具有广泛的应用前景.本试验利用溶胶一凝胶技术,通过对硅溶胶进行化学改性,在室温条件下制备出透明稳定的无氟超拒水整理剂,并将其应用在棉织物上.
1 试验
1.1 药品和仪器
织物:408 X 405,133/72棉织物(整理前棉织物已经过退浆、精练、漂白处理).
药品:十二烷基三甲氧基硅烷(纯度97%,湖北州江汉精细化工有限公司);四乙氧基硅烷、无水乙醇均为分析纯;二次蒸馏水、0.01mol/L盐酸溶液(自制)
仪器:Nano-ZS型纳米粒度仪(英国Malvern公司),IE300x型能谱仪(英国Oxford公司),NanoScope IV型扫描探针显微镜(美国Veeco公司),OCA40型视频接触角测量仪(德国Dataphysics公司).
1.2 改性硅溶胶的制备及其在棉织物上的应用
1.2.1 改性硅溶胶无氟超拒水整理剂的制备
量取一定量无水乙醇,加入到三颈瓶中,在强烈搅拌下将四乙氧基硅烷、蒸馏水、盐酸溶液[n(蒸馏水):(乙醇):n(盐酸溶液):n(四乙氧基硅烷)=6:15:0.001:1]分别缓慢滴入乙醇溶液中,滴加完毕后继续搅拌12h.称取十二烷基三甲氧基硅烷2.8%(对溶胶质量),并将其逐滴加入上述溶液中,室温条件下继续搅拌12 h,得到澄清透明的改性硅溶胶.
1.2.2 无氟超拒水整理剂在棉织物上的应用
棉织物浸渍1.2.1制备的改性硅溶胶― 三浸三轧(浸渍2 min,/轧压2.8kg/cm2)一室温自然晾干(2h)一焙烘(120℃。1h)
1.3 测试
颗粒粒径:使用Nano—ZS纳米粒度仪测量制备改性硅溶胶的颗粒大小;表面成分:使用IE 300X能谱仪测试棉织物表面元素组成,由于测试表面元素组成时要求样品导电,故测试前在棉织物表面进行喷金处理;表面粗糙度:使用NanoScopeⅣ扫描探针显微镜表征织物表面粗糙状况;接触角使用OCA40型视频接触角测量仪测定.将5µL水滴于织物表面,30s后从电脑上自动读取接触角数据,在织物不同位置重复测试5次,取其平均值.
2 结果和讨论
2.1 改性硅溶胶的反应机理
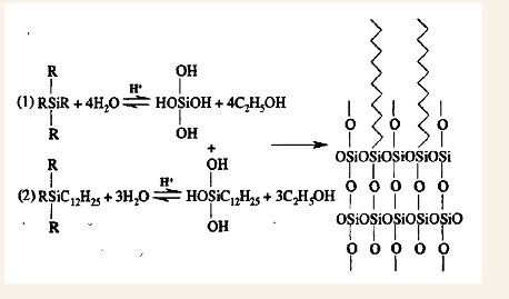
溶胶一凝胶反应主要包括水解和聚合两个过程.通过添加能与金属氧化物基体发生共聚反应形成共价键的添加剂可以实现对薄膜的化学改性.本试验通过2种不同前驱体(四乙氧基硅烷、十二烷基三甲氧基硅烷)水解共聚对硅溶胶进行化学改性制备超拒水整理剂,其过程可简单表示如下:
2.2 改性硅溶胶颗粒粒径
从图1可以看出,所制备的改性硅溶胶颗粒粒径较小,颗粒尺寸分布均一,主要集中在5—8nm,峰值出现在6.25nm处.这是由于反应从溶液开始,所以制备的溶胶能在分子水平上达到高度均匀.
 2.3 织物表面元素组成
棉纤维的主要成分是纤维素,其分子结构主要由C、H、0元素组成.将改性硅溶胶处理到棉织物上,利用能谱仪测定整理前后棉织物表面元素的变化情况(能谱仪的探测元素范围为Be4一U92,H1无法测定,因此,图谱中均没有显示H元素的存在).从图2可以看出,未整理棉织物表面含有C、0、Pt元素(H元素未显示),其中Pt元素主要由测试前对棉织物表面喷金引起.与未整理棉织物相比。经过改性硅溶胶整理后棉织物表面中明显多了一个si峰,说明了棉织物表面有Si元素存在,表明改性硅溶胶已经沉积在棉织物表面.

2.4 织物润湿性
由于分子结构中含有很多羟基,所以棉织物极易被润湿.经过改性硅溶胶处理后,在棉纤维表面形成一层薄膜遮盖住表面羟基,同时改性硅溶胶中的长分子链烷基伸展于空气中,降低了织物表面能,从而达到拒水效果.图3为5µL水滴在织物表面达到平衡时的状态,静态接触角达到151度.

使用扫描探针显微镜表征改性前后棉纤维表面的粗糙状况.从图4可以看出,未处理棉纤维表面比较光滑,而改性硅溶胶整理后棉纤维表面有很多凸起的小颗粒,从而形成比较粗糙的表面形貌,有利于超拒水薄膜的形成.
 关于物体润湿性的研究,Young提出了著名杨氏方程(图5a),存在如下关系式:

Θ为表观接触角,ysv为固体表面张力,ysl瓶为液固界面张力,ylv为液体表面张力.而当前众多研究表明,物体表面的润湿性由物体的表面形貌结构和表面化学组成共同决定.Wenzel就膜表面粗糙情况对疏水性的影响进行了深入研究,对杨氏方程进行了修正.指出由于实际表面粗糙,使得实际接触面积比理想平面大(图5b),并提出了Wenzel方程: 式中:θ1为表观接触角,r为实际接触面积/表观接触面积.本试验中,经改性硅溶胶整理后棉织物的r值大大提高,且大于1.根据Wenzel方程,拒水膜在增加粗糙度后将更拒水.
 本试验使用改性硅溶胶整理纯棉织物,一方面提高了纤维表面粗糙度;另一方面利用改性硅溶胶中引入的长碳链大大降低了织物表面自由能,在棉纤维表面形成拒水薄膜,从而制得有超拒水功能的棉纺织品.
3 结 论.
使用十二烷基三甲氧基硅烷和四乙氧基硅烷作为反应前驱体制备无氟超拒水改性硅溶胶.将其应用在纯棉织物上,纯棉织物对水接触角(5µL)由整理前的0度变为整理后的151度.所制备的无氟改性硅溶胶具态有和含氟整理剂类似或更好的拒水效果,应用前景非常广阔.
|